500 CHEMLAB
Q501

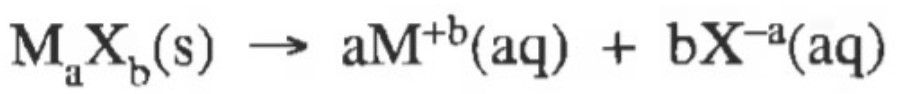
1) Provide and example of the equation above using Magnesium Chloride.

2) Provide and example of the equation above using Magnesium Chloride dissovlign in water.

3) Define the four components in the equation above, using water as an example.

4) What is the purpose of the equation above? What are you solving for?

5) Define the three components in the equation above.
6) If you start off with 50.0ml of 95C water and 50.0ml of 25C water what is the Tavg?

7) After mixing the two water samples together in a calorimeter and waiting 20seconds the water temperature was 57C.
What is the Ccal of the Calorimeter Constant?

8) What is the Ccal of the Calorimeter?
